歡迎來到江蘇红桃17c视频泵(bèng)業有限公司官方網站
您當前(qián)的位置: 首頁 > 螺杆泵 > 螺(luó)杆泵(bèng)產品

直聯型螺杆泵-緊湊型螺(luó)杆泵-江蘇红桃17c视频泵業

產品(pǐn)簡(jiǎn)介

產品詳情

直聯型(xíng)螺杆泵-緊湊型螺杆泵-江蘇红桃17c视频泵業(圖1)

直聯(lián)型螺杆泵-緊湊型螺杆泵-江蘇玖(jiǔ)弘(hóng)泵業(圖(tú)2)


產品特點

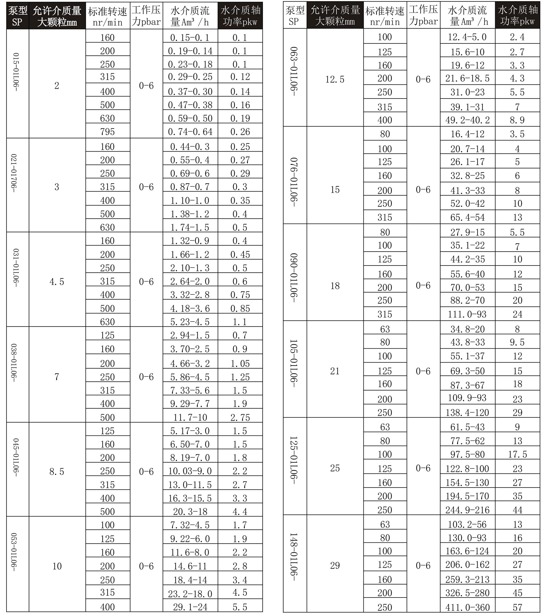
型號參數

性(xìng)能參(cān)數用於:G型係列,NM型係列,BN型係列,C型係列等,具(jù)體選型可聯係工程師

螺杆泵性能參(cān)數(1)_00(1).png

螺杆泵性能參數(1)_01.jpg

螺杆泵性能參數(1)_02.jpg


相關文章

十餘(yú)年專注泵(bèng)業(yè) 泵閥(fá)就(jiù)選我們

以世界技術為先(xiān)導,國際水平為目標,向(xiàng)科技求發展,向質量求生(shēng)存,向信譽(yù)求(qiú)市場(chǎng),向管理求效益

聯係電話:18115917887 立(lì)即谘詢
红桃17c视频-17c一起 久青草-17c起草口官网-17.c.91蘑菇