關鍵詞: 液下(xià)泵、自(zì)吸泵、螺杆泵

ZE化工流程泵結構描述(shù)
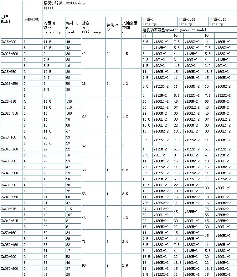
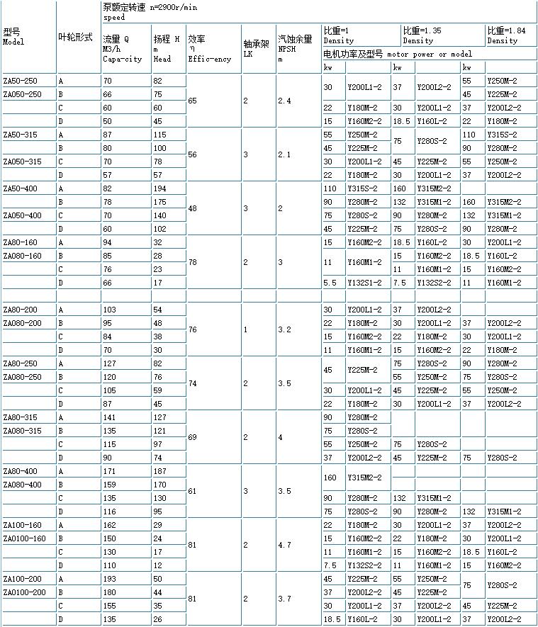
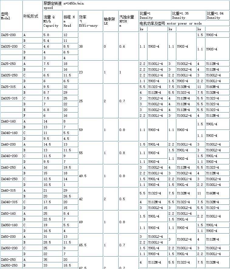
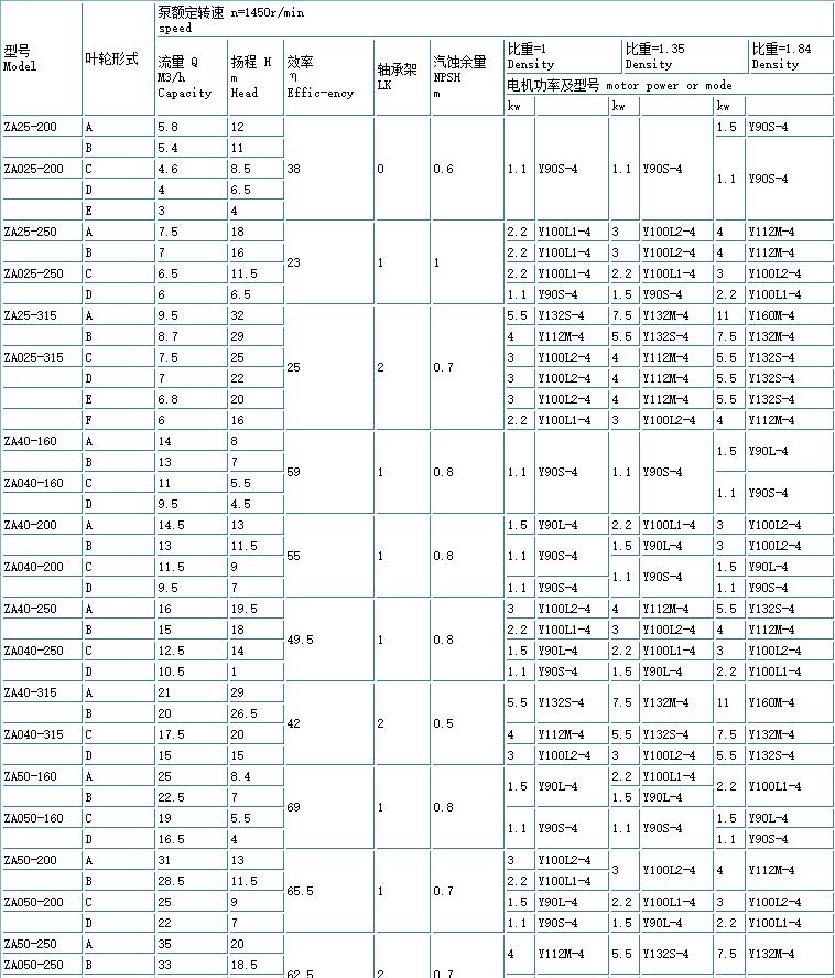
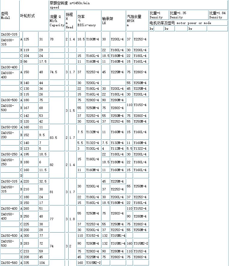
ZA、ZE型石油化工泵執行API610標準,口徑25~400mm,流量可達(dá)2600m3/h,揚程可達250m。
同時可(kě)保證流程工作要(yào)求的維修條(tiáo)件(jiàn),軸承、軸封和(hé)葉輪為一轉子組件可(kě)進行迅速的拆卸或裝配,大大縮短了停(tíng)車維修周期。
葉輪為單吸徑向閉式,帶有葉輪耐磨環和泵體耐磨環,磨損後隻需要(yào)更換耐磨環可減低維修(xiū)和構件的成本。
泵蓋上帶(dài)有冷卻和加熱軸承箱體的結構。軸封有填料密封和(hé)機械密封兩種類型,用戶可(kě)根據不同使用工況進行選擇。
軸承(chéng)用潤滑油(yóu)潤滑,軸承支架上帶有恒位(wèi)油(yóu)環,軸(zhóu)承支架分無冷卻、水冷卻、風扇冷卻結構。泵與電機間使用彈性聯軸器作為連接元件,該元件可補償小的軸向、徑向和角度位移。






以世界(jiè)技術為先導,國際水平為目標,向科技(jì)求發展,向質量求生存,向信譽求市場,向(xiàng)管理(lǐ)求效益